高等数学(下)
高等数学下
第八章 向量代数与空间解析几何
第一节 向量及其线性运算
沿(x/y/z)方向余弦值:坐标值/模长
Prja(下标)b:b在a方向上的投影
(其余的东西都是高中学过的,不做赘述)
第二节 向量积、数量积、混合积
向量积:a·b=|a||b| cosθ
数量积:a×b=|a||b| sinθ/行列式D的值(其中第一行为i,j,k,第二第三行为a、b的坐标)
混合积:(a×b)·c的值为行列式D的值(其中一到三行分别为a,b,c的坐标值)
第三节 平面及其方程
平面方程求法:点法式
已知平面的法向量n=(A,B,C)->n=AB×AC;有一点为(x0,y0,z0);
则平面方程为A(x-x0)+B(y-y0)+C(z-z0)=0;
第四节 空间直线及其方程
空间直线求法:对称式(也叫点向式)及其参数方程
已知直线的一点(x0,y0,z0);直线的方向向量s=(A,B,C)->n1×n2,即两平面交线的方向向量为二者法向量叉乘;
则(x-x0)/A=(y-y0)/B=(z-z0)/C;
待定系数法求平面束:(ax+by+cz)+λ(Ax+By+Cz)=0
第五节 曲面及其方程
椭球面:X^2/a^2+Y^2/b^2+Z^2/c^2=R^2 (当且仅当a=b=c时为球面)
锥面:Z^2=X^2/a^2+Y^2/b^2 (当且仅当a=b时为圆锥面)
抛物面:X^2+Y^2+Z=R^2
单叶双曲面:X^2/a^2+Y^2/b^2-Z^2/c^2=1 (双曲线绕谁转谁不变)
双叶双曲面:X^2/a^2-Y^2/b^2-Z^2/c^2=1 (双曲线绕谁转谁不变)
椭圆/双曲抛物面:X^2/a^2+Y^2/b^2=Z / X^2/a^2-Y^2/b^2=Z
柱面:一般没有那个字母母线就平行于哪个轴
第六节 空间曲线及其方程
投影求法:若都有z,则先消去z,再联立z=0,找到封顶和封底。
若没有z,则先把z=0代入有z的方程,观察是否切到另一平面的底面
空间曲线的参数方程:
X=a cos w t;Y=a sin w t;Z=v t ->螺旋上升成一个圆柱
第九章 多元函数微分法及其应用
第一节 多元函数的基本概念
一些新定义的点
内点:在x-o-y平面中趋近于一点的邻域内的点叫内点
外点:在x-o-y平面中趋近于一点的邻域外的点叫外点
边界点:在x-o-y平面中趋近于一点的邻域上的点叫边界点
E指的是边界点的全体,内点一定属于E,外点一定不属于E,边界点都有可能。
聚点:任意一个点P,去心邻域中总有E中的点,则称P为E的聚点
平面点集
开集:点集E的点都是E的内点
闭集:点集E的边界点都属于E
连通集:点集E中任意两点联通的折线属于E
区域:连通的开集
闭区域:联通的闭集
有界集/无界集:顾名思义
极限
极限的定义:
和一元函数一样,二元函数的极限就是在x-o-y平面内从各个方向逼近于一个点的值
极限的求法:
和一元函数一样,需要用到有理化、代入、等价无穷小等方法。
连续的定义:l i m(x ,y)->(x0,y0)f(x, y)=f(x0,y0);
证明极限不存在:
因为是二维平面,所以要证明极限时要从多个方向逼近。证明只用它的值会变。
练习例题
1. L i m(x->+∞, y->+∞)(x^2+y^2)*e^-(x^2+y^2) (洛必达法则)
2. L i m(x->0,y->0)x y/(x^2+y^2)^1/2 (夹逼定理)
3. Lim(x ,y)->(0,0)(x^2+y^2)^1/2+sin(x^2+y^2)^1/2/(x^2+y^2)^3/2 (泰勒展开或洛必达)
(sin x =x-1/3! X^2+0(u^3))
4. Lim(x ,y)->(0,0)sin(x^2y)/(x^2+y^2) (基本不等式)
练习题:(证明在(0,0)极限不存在)
1. f(x)=x y/(x^2+y^2),x^2+y^2≠0;0,x^2+y^2=0; (切记要利用偏导的定义,定一求一 )
2. l i m(x ,y)->(0,0) x^2y/(x^4+y^2) (选好一个方向趋近于(0,0)点)
3. l i m(x ,y)->(0,0) (1+xy)^1/(x+y)
第二节 偏导数
定义:沿着某个方向的斜率,定一求一,把另一个自变量当成常数进行求导
偏导≠>连续
若函数连续,则∂^2 z/∂x∂y=∂^2 z/∂y∂x
练习:
1. f(x ,y)=x+(y-1) arc sin(x/y)^1/2,求f x(x,1)
2. 设函数u=f(r)二阶可导,且满足方程∂^2u/∂x^2+∂^2u/∂y^2=4,其中r=(x^2+y^2)^1/2,求f(r)
第三节 全微分
偏增量:f(x+Δx ,y)-f(x ,y) / f(x ,y+Δy)-f(x ,y)
偏微分: f x(x ,y)Δx/ f y(x ,y)Δy,其中Δx=d x,Δy=d y
全增量:Δz=f(x+Δx ,y+Δy)-f(x ,y)=Ax +By+ρ(0); ρ(0)=(x^2+y^2)^1/2
全微分:d z=f x(x ,y)Δx/ f y(x ,y)Δy
可微->连续/偏导存在
这是因为, 如果z=f(x, y)在点(x, y)可微, 则Δz=f(x+Δx, y+Δy)-f(x, y) =AΔx+BΔy+o(r),
于是lim(ρ→0)Δz=0,则l i m(Δx , Δy)->(0,0) f(x+Δx,y+Δy)=lim(ρ->0)[f(x,y)+Δz]=f(x,y)
偏导存在且连续->可微 (二者缺一不可)


求近似值的方法:
设定一个函数并且给x 、y赋值;再利用Δz≈d z=f x(x ,y)Δx+ f y(x ,y)Δy求出Δz;最后利用原式=z(x ,y)+Δz算出近似值
第四节 多元复合函数的求导法则
一元函数和多元函数符合求导
定义:若有z(u,v),u(t),v(t),求dz/dt (一元函数再多都一样)
∂z先对它自己的一个变量求偏导,再对那一个变量进行求偏导。
则有链式法则:dz/dt = ∂z/∂u * du/dt + ∂z/∂v * dv/dt; dz/dt 称为全导数;
证明:先利用连续的定义把Δz展开成:Δz = ∂z/∂u * Δu + ∂z/∂v * Δv。
然后再两边同时除dt得到结论。
多元函数和多元函数复合
定义:若有z=f(x,y),u(x,y),v(x,y),求若有z(u,v),u(t),v(t),求∂z/∂x和∂z/∂y
∂z先对它自己的一个变量求偏导,再对那一个变量进行求偏导。
则有链式法则:∂z/∂x = ∂z/∂u * ∂u/∂x + ∂z/∂v * ∂v/∂x;
∂z/∂y = ∂z/∂u * ∂u/∂y + ∂z/∂v * ∂v/∂y;
例题:
1.u=f(x.y.z)=e^(x^2+y^2+z^2),z=x^2siny,求∂z/∂x;∂z/∂y
2.(☆这里求二阶导很重要)设w=f(x+y+z,xyz),f具有二阶偏导数,求∂w/∂x,∂^2w/∂x∂y
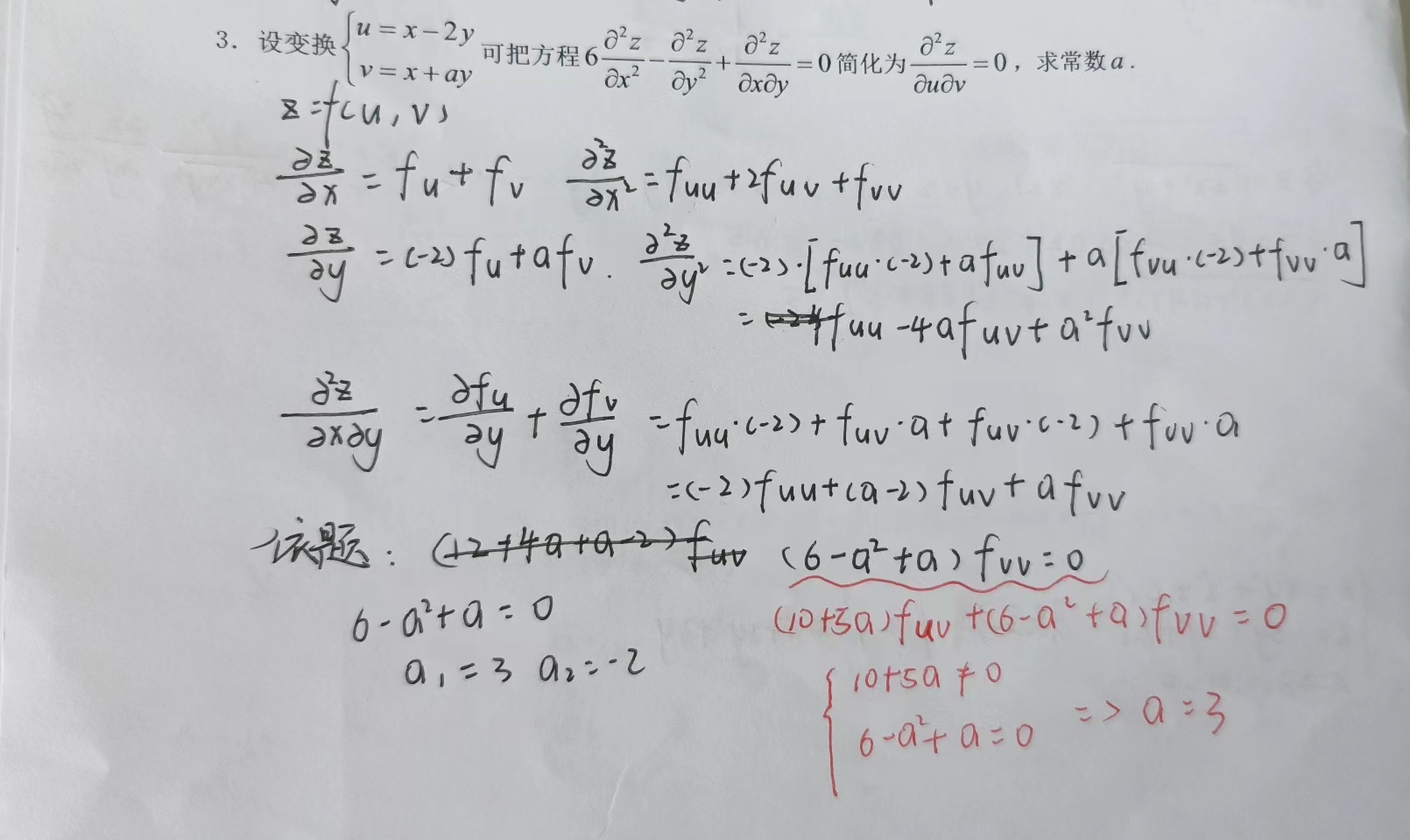
3.u=x-2y ,v=x+ay ,且方程 6∂^2z/∂x^2 - ∂^2z/∂y^2 + ∂^2z/∂x∂y=0可以简化为∂^2z/∂u∂v =0,求常数a;
4.设z=f(2x+3y,x^2y)+g(xy^2),求∂^2z/∂x∂y;
答案:
1.
2.3.
3.
4.3.
第五节 隐函数的求导
一个方程的情形
隐函数存在定理1:
设函数在点的某一邻域内具有连续的偏导数,且F(x_0,y_0)=0,F_y(x_0,y_0)≠0,则方程F(x_0,y_0)=0在点(x_0,y_0)的某一邻域内恒能唯一确定一个单值连续且具有连续导数的函数y=f(x),它满足条件y_0=f(x_0),并有dy/dx=-(F_x/F_y)
隐函数存在定理2:
设函数在点的某一邻域内具有连续的偏导数,且F(x_0,y_0,z_0)=0,F_z(x_0,y_0,z_0)≠0,则方程F(x_0,y_0,z_0)=0在点(x_0,y_0,z_0)的某一邻域内恒能唯一确定一个单值连续且具有连续导数的函数z=f(x,y),它满足条件z_0=f(x_0,y_0),并有∂z/∂x=-(Fx/Fz);∂z/∂y=-(Fy/Fz).
方程组的情形
由方程组可以确定隐函数组(谁是谁的函数),利用克拉默法则->雅可比行列式,系数矩阵的行列式的值不能为0,因为会由无穷多解。
步骤:
若为对一个变量求导:(问什么导就求什么导)
先两边同时对分母那个自变量求导(复合函数求导),然后利用克拉默法则求出答案
若为对两个变量求导:(问什么导就求什么导)
1.先两边同时对分母那个自变量求导(复合函数求导),然后利用克拉默法则求出答案。->直接法
2.若u(x,y),v(x,y),则求导数的话要用雅可比行列式,分母为F、G关于u、v的导数,分子就是求啥替换啥。->公式法
练习
设F(u,v)有连续偏导数,证明由方程F(x+z/y,y+z/x)所确定的函数z=(x,y)满足x ∂z/∂x+y ∂z/∂y=z-xy
第六节 ☆多元函数微分学的几何应用(与梯度下降有关)
空间曲线的切线与法平面
1.如果是参数方程,则x、y、z分别对参数求导求出切线的方向向量,然后可以通过点向式求切线,通过点法式求法平面
2.若不是参数方程,则将x/y/z作为参数进行计算
空间曲线的切平面
面在点处的法向量为对x、y、z分别求偏导的结果
TO BE CONTINUE……∂